Чтобы сохранить список, вам нужно:
Войтиили
Зарегистрироваться
Расчет мощности электродвигателя — задача, которая на первый взгляд выглядит несколько странной: чего рассчитывать, если мощность электромотора в обязательном порядке указывается в сопроводительной документации, да и на самом двигателе тоже? Однако не все так просто — в разных режимах работы электродвигатель может показывать весьма различную мощность — и то, какой она будет, сильно зависит от того, как электромотор используется. А так как асинхронный двигатель самый распространенный в быту, все расчеты будут приводиться именно для этого типа.
В общем случае для квалифицированного подбора электродвигателя должна быть известна нагрузочная диаграмма механизма. Однако, в случае постоянной или слабо меняющейся нагрузки без регулирования скорости достаточно рассчитать требуемую мощность по теоретическим или эмпирическим формулам, зная рабочие параметры нагрузки. Ниже приведены формулы для расчета мощности двигателя P2 [кВт] некоторых механизмов.
1. Вентилятор

где Q [м3/с] – производительность вентилятора,
Н [Па] – давление на выходе вентилятора,
ηвент, ηпер – КПД вентилятора и передаточного механизма соответственно,
kз – коэффициент запаса.
Но расчет необходимой мощности электродвигателя будет выглядеть несколько хитрее, если электромотор должен работать в насосе или компрессоре.
2. Насос

k3 - коэффициент запаса, принимаемый как 1,1-1,3 в зависимости от мощности электродвигателя, где:
Q [м3/с] – производительность насоса,
g=9,8 м/с2 – ускорение свободного падения,
H [м] – расчетная высота подъема,
ρ [кг/м3] – плотность перекачиваемой жидкости,
ηнас, ηпер – КПД насоса и передаточного механизма соответственно,
kз – коэффициент запаса.

Где:
Q [м3/с] – производительность компрессора,
А [Дж/м3] – работа изотермического и адиабатического сжатия атмосферного воздуха объемом 1 м3 давлением 1,1·105 Па до требуемого давления,
ηк, ηп – КПД компрессора и передаточного механизма соответственно,
kз – коэффициент запаса.
Кроме того, необходимо сопоставить пусковой момент двигателя (особенно в случае асинхронного с короткозамкнутым ротором) и рабочего механизма, так как некоторые механизмы имеют повышенное сопротивление в момент трогания. Следует иметь в виду и то обстоятельство, что при замене трехфазного асинхронного двигателя на однофазный пусковой момент последнего почти в три раза меньше и механизм, успешно функционировавший ранее, может не тронуться с места.
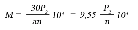
Развиваемый электродвигателем
момент M [Нм] и полезная мощность на валу Р2 [кВт] связаны следующим соотношением:

Важно отметить следующее:
1. Не следует выбирать двигатель с большим запасом по мощности, так как это приведет к снижению его КПД, а в случае двигателя переменного тока также к снижению коэффициента мощности.
2. Необходимо учитывать то, что наиболее нагруженными в двигателе являются подшипниковые узлы. В связи с этим необходимо учитывать радиальные и осевые усилия, действующие на вал двигателя. Превышения допустимых значений сил приводит к кратному уменьшению срока службы, а в некоторых случаях и выходу из строя не только подшипников, но и всего двигателя.
3. В случае отклонения условий эксплуатации двигателя (например, температуры окружающей среды или высоты над уровнем моря), мощность нагрузки должна быть изменена. Кроме того, при снижении мощности нагрузки в определенные моменты времени для рационального использования двигателя может быть изменена схема соединения обмотки.
Широкий ассортимент электродвигателей представлен в ТВК «ЭлектроЦентр» и на сайте интернет-магазина stv39.ru.
1. Общие положения
1.1. Настоящее Пользовательское соглашение (далее – Соглашение) относится к сайту Интернет-магазина stv39.ru, расположенному по адресу 238311, Калининградская обл., Большое Исаково, ул. Старокаменная, дом. 35, и ко всем соответствующим сайтам, связанным с сайтом stv39.ru.
1.2. Сайт Интернет-магазина stv39.ru (далее – Сайт) является собственностью ИП «Зверев И.В.».
1.3. Настоящее Соглашение регулирует отношения между Администрацией сайта Интернет-магазина stv39.ru (далее – Администрация сайта) и Пользователем данного Сайта
1.4. Администрация сайта оставляет за собой право в любое время изменять, добавлять или удалять пункты настоящего Соглашения без уведомления Пользователя.
1.5. Продолжение использования Сайта Пользователем означает принятие Соглашения и изменений, внесенных в настоящее Соглашение.
1.6. Пользователь несет персональную ответственность за проверку настоящего Соглашения на наличие изменений в нем.
Полная версия документа